Опалення від ТЕЦ: «скрипя зубами» і з боржниками
КЕП «Чернігівська ТЕЦ» ТОВ фірми «ТехНова» нагадує мешканцям про наявність заборгованості по сплаті за послуги з надання теплопостачання.
Фото з сайту міськради
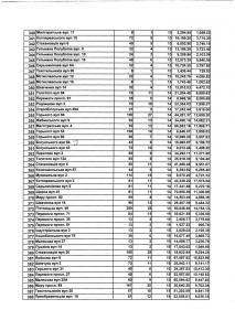
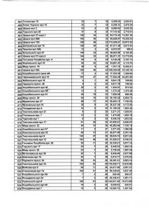
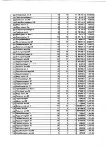
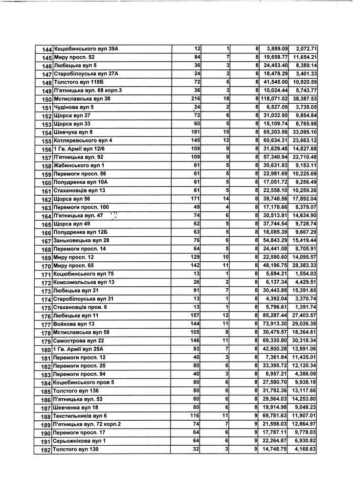
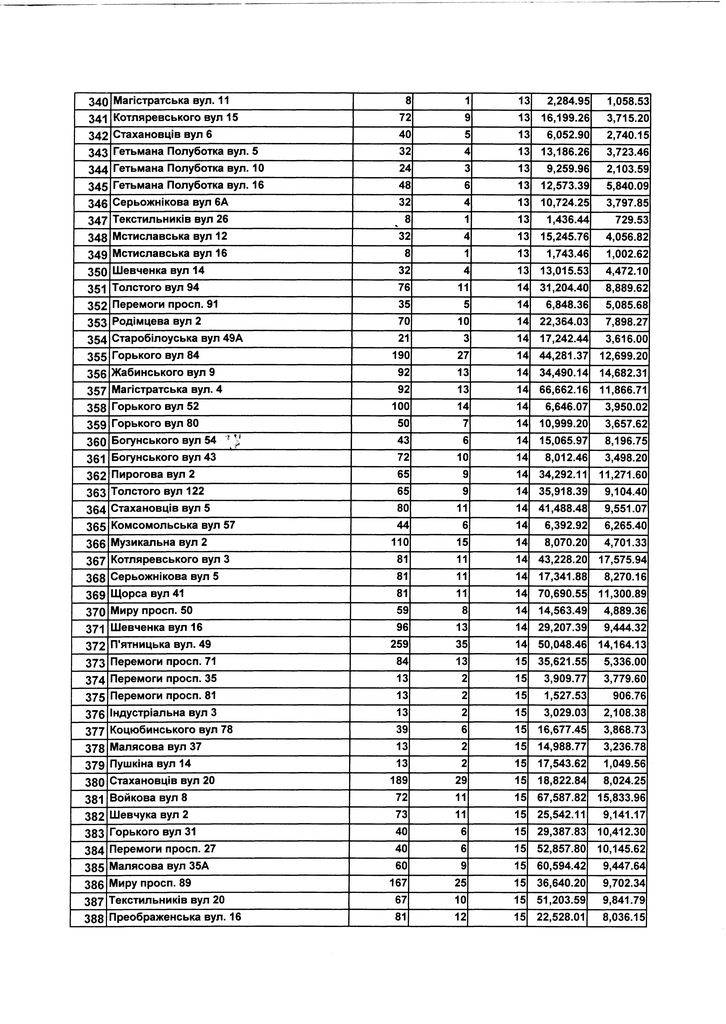
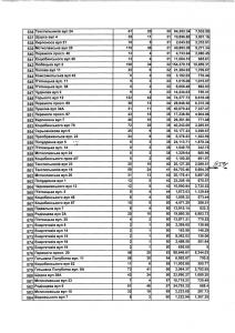
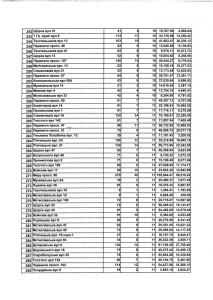
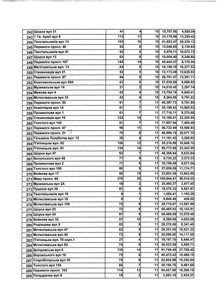
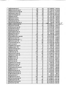
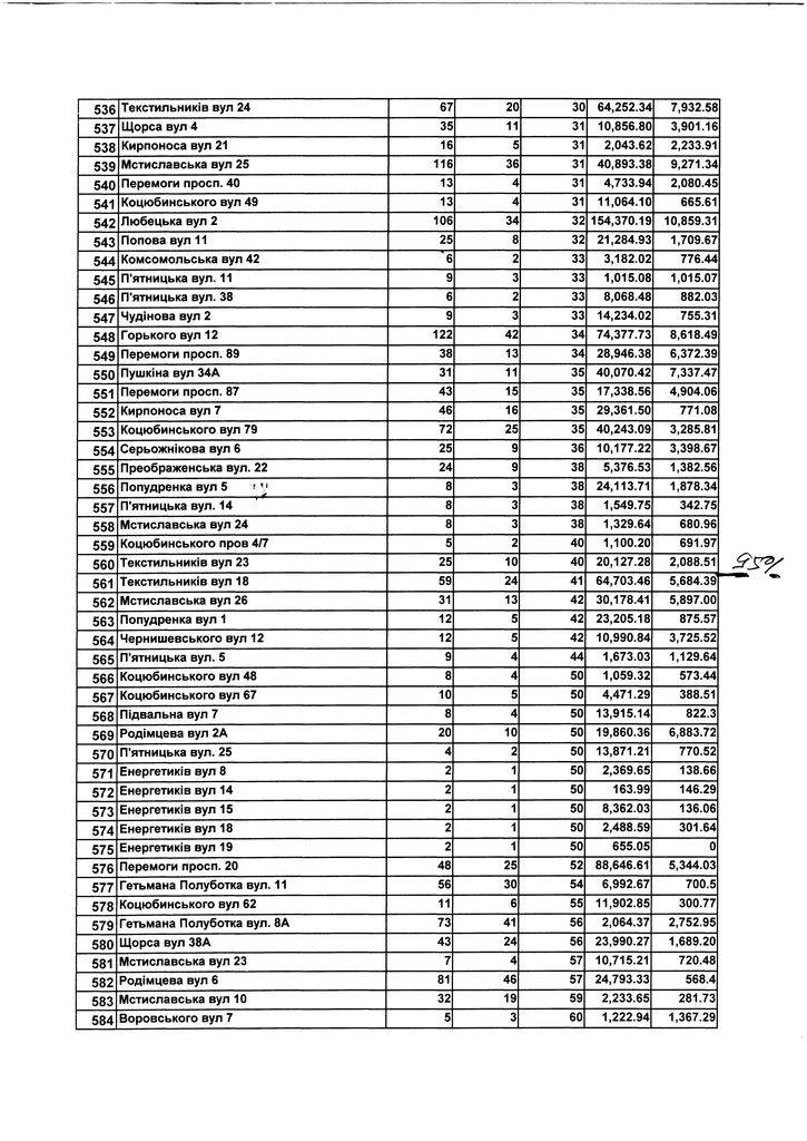
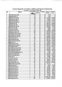
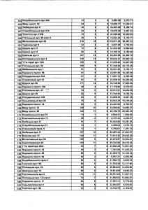
Список будинків, які мають найбільший відсоток боржників
| Версія для друку Відправити по e-mail Обговорити на форумі |
| Переглядів : 4756 |
Посилання до теми:
4.10.2013 Ляшко зубами цокотить - холодів боїться, Мер Сашко бумажку підписав та й перехристився
2.10.2013 Вілкул пришвидшив подачу тепла до чернігівських осель
2.10.2013 Як знайти тепло в жовтні ?
30.09.2013 Коротенько про сесію та наслідки прийнятих рішень
1.10.2013 Дрова для нужденних приготують у Ніжині
4.10.2013 5 жовтня житлові будинки стануть теплими
30.09.2013 Вілкул вимагає пришвидшити підключення до тепла
2.10.2013 Чернігів. Жовтень. Життя з відкритою духовкою
30.09.2013 Ніжинців змушують мерзнути































Коментарі (2)
patriotka | 2013-10-07 14:20
Евгений | 2013-10-07 12:58